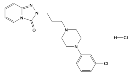
Trazodone | High-Quality Pharmaceutical Reference Standard

Trazodone API is a serotonin antagonist and reuptake inhibitor (SARI) used to treat major depressive disorder and commonly prescribed for insomnia due to its sedative properties.

Trazodone API is manufactured and supplied by Artis Biotech | ASTANDARDS, ensuring high purity, consistent quality, and regulatory-compliant specifications. Our APIs are produced using validated processes and are suitable for research, development, and pharmaceutical manufacturing applications.

Total Products : 13