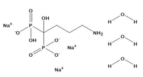
Sodium alendronate Trihydrate | High-Quality Pharmaceutical Reference Standard

Sodium Alendronate Trihydrate API is a bisphosphonate compound used to treat and prevent osteoporosis, inhibiting osteoclast-mediated bone resorption and improving bone density.

Sodium alendronate Trihydrate API is manufactured and supplied by Artis Biotech | ASTANDARDS, ensuring high purity, consistent quality, and regulatory-compliant specifications. Our APIs are produced using validated processes and are suitable for research, development, and pharmaceutical manufacturing applications.

Total Products : 1