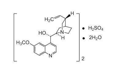
Quinidine | High-Quality Pharmaceutical Reference Standard

Quinidine API is a class IA antiarrhythmic agent used to manage atrial and ventricular arrhythmias, also possessing antimalarial activity.

Quinidine API is manufactured and supplied by Artis Biotech | ASTANDARDS, ensuring high purity, consistent quality, and regulatory-compliant specifications. Our APIs are produced using validated processes and are suitable for research, development, and pharmaceutical manufacturing applications.

Total Products : 1