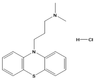
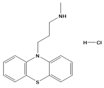
Promazine | High-Quality Pharmaceutical Reference Standard

Promazine API is a phenothiazine antipsychotic and antiemetic used for the treatment of psychotic disorders, anxiety, and nausea, acting through dopamine receptor antagonism.

Promazine API is manufactured and supplied by Artis Biotech | ASTANDARDS, ensuring high purity, consistent quality, and regulatory-compliant specifications. Our APIs are produced using validated processes and are suitable for research, development, and pharmaceutical manufacturing applications.

Total Products : 3